Int J Stomatol ›› 2026, Vol. 53 ›› Issue (2): 205-215.doi: 10.7518/gjkq.2026003

• Original Articles • Previous Articles    

Exploring the impact of mitochondrial dysfunction on the pathogenesis of oral lichen planus using Mendelian randomization

Manman Yao(),Yueting Lu(),Jingjing Wu,Tiejun Liu,Yongle Qiu,Hongyue Shang,Bo Dong   

  1. Dept. of Stomatology, the Fourth Hospital of Hebei Medical University, Shijiazhuang 050000, China
  • Received:2024-11-05 Revised:2024-12-30 Online:2026-03-01 Published:2026-02-13
  • Contact: Yueting Lu E-mail:49103567@hebmu.edu.cn;48901999@hebmu.edu.cn
  • Supported by:
    Central Government Guides Local Funds Supported by S&T Program of Hebei(246Z7762G);Research Plan of Hebei Provincial Administration of Traditional Chinese Medicine(2026349);Medical Science Research Project of Hebei Province(20260512)

Abstract:

Objective This study aimed to investigate the potential causal relationship between specific mitochondrial functions and oral lichen planus (OLP) via Mendelian randomization (MR) analysis. To explore the effect of mitochondrial dysfunction on OLP, provi-ding new insights into its pathogenesis and identifying potential therapeutic targets. Methods Genetic variants related to mitochondrial function were obtained from the integrative epidemiology unit open GWAS project (IEU) database, and OLP summary-level data (587 cases and 411 594 controls) were retrieved from the FINNGEN database. A total of 69 mitochondrial-related genetic variants were selected for analysis. MR analysis was performed using R software (version 4.3.2), applying the inverse variance weighted (IVW) method, MR Egger regression, and the weighted median approach to estimate the causal effects of mitochondrial variants on OLP. Instrumental variables were selected with a significance threshold of P<5e-5. To eliminate linkage disequilibrium, single-nucleotide polymorphisms (SNPs) within 1 000 kb and with r²>0.001 were excluded. Heterogeneity and horizontal pleiotropy were also assessed. Results MR analysis identified significant associations between specific mitochondrial functions and OLP. Odds ratios (OR) less than 1 suggested a protective effect on OLP. Glutaredoxin-2 (Grx2) (IVW, OR: 0.768, P=0.036) and mitochondrial peptide methionine sulfo-xide reductase (MPMSR) (IVW, OR: 0.680, P=0.044) had ORs less than 1. Conversely, malonyl-CoA decarboxylase (MCD) (IVW, OR: 1.591, P=0.022), 39S ribosomal protein L34 (MRPL34) (IVW, OR: 1.826, P=0.034), and ribosome-recycling factor (RRF) (IVW, OR: 1.498, P=0.004 9) exhibited OR greater than 1, indicating that they were risk factors for OLP. Further reverse validation showed that MCD was significantly associated with OLP (IVW, OR: 1.134, P=0.045), suggesting that OLP was a risk factor for this mitochondrial function. Conclusion This MR study identified a causal relationship between specific mitochondrial functions and OLP. Mitochondrial proteins involved in redox homeostasis, such as Grx2 and MPMSR, appear to have a protective effect, whereas dysregulation of mitochondrial metabolic and translational functions, including MCD, MRPL34, and RRF, may contribute to increased disease risk. The bidirectional association between MCD and OLP further highlights the complexity of mitochondrial involvement in OLP pathogenesis. These findings provide novel insights into potential causal pathways and therapeutic targets for OLP.

Key words: oral lichen planus, Mendelian randomization analysis, mitochondria

CLC Number: 

  • R781.5

TrendMD: 

Fig 1

Heatmap showing the correlation between mitochondrial traits and OLP"

Tab 1

Mitochondria-related genome-wide association study (GWAS) data associated with OLP"

编号(GWAS ID)年份线粒体因子样本量SNP数量
prot-a-19532018MPMSR3 30110 534 735
prot-a-19072018MCD3 30110 534 735
prot-a-12202018Grx23 30110 534 735
prot-a-19432018MRPL343 30110 534 735
prot-a-19452018RRF3 30110 534 735

Fig 2

Forest plot of the causal relationship between mitochondria and OLP (integrated five algorithms)"

Fig 3

Forest plot of the causal relationship between mitochondria and OLP (IVW algorithm)"

Tab 2

Results of heterogeneity and pleiotropic tests"

编号

线粒体

因子

结局异质性检验水平多效性检验
MR EggerIVW
Egger截距SEP
QQ_dfQ_PQQ_dfQ_P
prot-a-1220Grx2OLP10.1100.43412.4110.333-0.0910.060.159
prot-a-1953MPMSROLP6.5170.4816.5280.5890.0100.1010.926
prot-a-1907MCPOLP10.770.15110.980.205-0.0310.0840.723
prot-a-1943MRPL34OLP0.05620.9723.35830.3400.6480.3570.211
prot-a-1945RRFOLP6.8290.6567.55100.6720.0450.0530.412

Fig 4

Forest plot of five key mitochondrial traits causally associated with OLP"

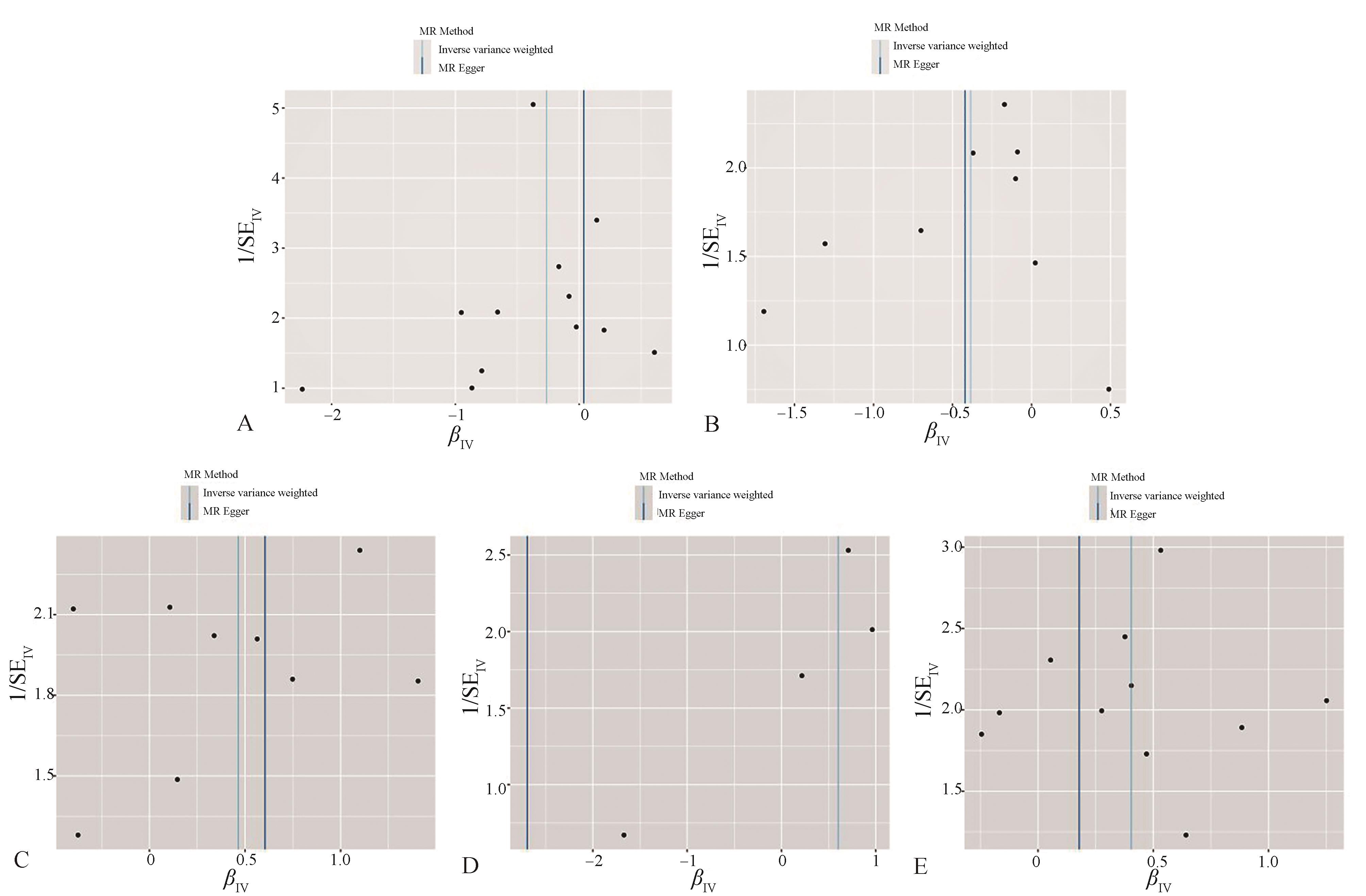
Fig 5

Scatter plot of five key mitochondrial traits causally associated with OLP"

Fig 6

Leave-one-out forest plot of five key mitochondrial traits causally associated with OLP"

Fig 7

Funnel plot of five key mitochondrial traits causally associated with OLP"

Fig 8

Forest plot of reverse validation causal relationship between MCD and OLP"

[1] Deng X, Wang Y, Jiang L, et al. Updates on immunological mechanistic insights and targeting of the oral lichen planus microenvironment[J]. Front Immunol, 2023, 13: 1023213.
[2] Lin DJ, Yang LS, Wen LL, et al. Crosstalk between the oral microbiota, mucosal immunity, and the epithelial barrier regulates oral mucosal disease pathogenesis[J]. Mucosal Immunol, 2021, 14(6): 1247-1258.
[3] Louisy A, Humbert E, Samimi M. Oral lichen planus: an update on diagnosis and management[J]. Am J Clin Dermatol, 2024, 25(1): 35-53.
[4] Dave A, Shariff J, Philipone E. Association between oral lichen planus and systemic conditions and medi-cations: case-control study[J]. Oral Dis, 2021, 27(3): 515-524.
[5] Wang J, Yang JJ, Wang C, et al. Systematic review and meta-analysis of oxidative stress and antioxidant markers in oral lichen planus[J]. Oxid Med Cell Longev, 2021, 2021: 9914652.
[6] Chiu YW, Su YF, Yang CC, et al. Is OLP potentially malignant? A clue from ZNF582 methylation[J]. Oral Dis, 2023, 29(3): 1282-1290.
[7] Bindakhil M, Akintoye S, Corby P, et al. Influence of topical corticosteroids on malignant transformation of oral lichen planus[J]. J Oral Pathol Med, 2022, 51(2): 188-193.
[8] Alrashdan MS, Cirillo N, McCullough M. Oral lichen planus: a literature review and update[J]. Arch Dermatol Res, 2016, 308(8): 539-551.
[9] Shalaby R, El Nawawy M, Selim K, et al. The role of vitamin D in amelioration of oral lichen planus and its effect on salivary and tissue IFN-γ level: a randomized clinical trial[J]. BMC Oral Health, 2024, 24(1): 813.
[10] Baker ZN, Forny P, Pagliarini DJ. Mitochondrial proteome research: the road ahead[J]. Nat Rev Mol Cell Biol, 2024, 25(1): 65-82.
[11] Banerjee S, Mukherjee S, Mitra S, et al. Comparative evaluation of mitochondrial antioxidants in oral potentially malignant disorders[J]. Kurume Med J, 2020, 66(1): 15-27.
[12] Jiao Y, Yan Z, Yang A. Mitochondria in innate immunity signaling and its therapeutic implications in autoimmune diseases[J]. Front Immunol, 2023, 14: 1160035.
[13] Prasun P. Role of mitochondria in pathogenesis of type 2 diabetes mellitus[J]. J Diabetes Metab Di-sord, 2020, 19(2): 2017-2022.
[14] Sun BB, Maranville JC, Peters JE, et al. Genomic atlas of the human plasma proteome[J]. Nature, 2018, 558(7708): 73-79.
[15] Chai YC, Mieyal JJ. Glutathione and glutaredoxin-key players in cellular redox homeostasis and signa-ling[J]. Antioxidants (Basel), 2023, 12(8): 1553.
[16] Scalcon V, Folda A, Lupo MG, et al. Mitochondrial depletion of glutaredoxin 2 induces metabolic dysfunction-associated fatty liver disease in mice[J]. Redox Biol, 2022, 51: 102277.
[17] Li CL, Xin H, Shi YP, et al. Glutaredoxin 2 protects cardiomyocytes from hypoxia/reoxygenation-induced injury by suppressing apoptosis, oxidative stress, and inflammation via enhancing Nrf2 signa-ling[J]. Int Immunopharmacol, 2021, 94: 107428.
[18] Liu YN, Gong JL, Wang Q, et al. Activation of the Nrf2/HO-1 axis by glutaredoxin 2 overexpression antagonizes vascular endothelial cell oxidative injury and inflammation under LPS exposure[J]. Cytotechnology, 2024, 76(2): 167-178.
[19] Xiang XJ, Song L, Deng XJ, et al. Mitochondrial methionine sulfoxide reductase B2 links oxidative stress to Alzheimer’s disease-like pathology[J]. Exp Neurol, 2019, 318: 145-156.
[20] Hansel A, Kuschel L, Hehl S, et al. Mitochondrial targeting of the human peptide methionine sulfoxide reductase (MSRA), an enzyme involved in the repair of oxidized proteins[J]. FASEB J, 2002, 16(8): 911-913.
[21] Inokuchi Y, Quaglia F, Hirashima A, et al. Role of ribosome recycling factor in natural termination and translational coupling as a ribosome releasing factor[J]. PLoS One, 2023, 18(2): e0282091.
[22] Lahry K, Datta M, Varshney U. Genetic analysis of translation initiation in bacteria: an initiator tRNA-centric view[J]. Mol Microbiol, 2024, 122(5): 772-788.
[23] Kasapkara CS, Ürey BC, Ceylan AC, et al. Malonyl coenzyme A decarboxylase deficiency with a novel mutation[J]. Cardiol Young, 2021, 31(9): 1535-1537.
[24] Zhou LJ, Luo YB, Liu YN, et al. Fatty acid oxidation mediated by malonyl-CoA decarboxylase represses renal cell carcinoma progression[J]. Cancer Res, 2023, 83(23): 3920-3939.
[25] Chapel-Crespo C, Gavrilov D, Sowa M, et al. Clinical, biochemical and molecular characteristics of malonyl-CoA decarboxylase deficiency and long-term follow-up of nine patients[J]. Mol Genet Metab, 2019, 128(1/2): 113-121.
[26] Bowman CE, Wolfgang MJ. Role of the malonyl-CoA synthetase ACSF3 in mitochondrial metabolism[J]. Adv Biol Regul, 2019, 71: 34-40.
[27] Mallick R, Basak S, Duttaroy AK. Fatty acids and evolving roles of their proteins in neurological, cardiovascular disorders and cancers[J]. Prog Lipid Res, 2021, 83: 101116.
[28] Vila IK, Chamma H, Steer A, et al. STING orchestrates the crosstalk between polyunsaturated fatty acid metabolism and inflammatory responses[J]. Cell Metab, 2022, 34(1): 125-139.e8.
[29] Xu Z, Han Q, Yang D, et al. Automatic detection of image-based features for immunosuppressive therapy response prediction in oral lichen planus[J]. Front Immunol, 2022, 13: 942945.
[30] Deng J, Pan WY, Ji N, et al. Cell-free DNA promotes inflammation in patients with oral lichen planus via the STING pathway[J]. Front Immunol, 2022, 13: 838109.
[31] Paluch KV, Platz KR, Rudisel EJ, et al. The role of lysine acetylation in the function of mitochondrial ribosomal protein L12[J]. Proteins, 2024, 92(5): 583-592.
[32] Huang G, Li H, Zhang H. Abnormal expression of mitochondrial ribosomal proteins and their encoding genes with cell apoptosis and diseases[J]. Int J Mol Sci, 2020, 21(22): 8879.
[33] Karim L, Kosmider B, Bahmed K. Mitochondrial ribosomal stress in lung diseases[J]. Am J Physiol Lung Cell Mol Physiol, 2022, 322(4): L507-L517.
[34] Zhang JB, Simpson CM, Berner J, et al. Systematic identification of anticancer drug targets reveals a nucleus-to-mitochondria ROS-sensing pathway[J]. Cell, 2023, 186(11): 2361-2379.e25.
[1] Xing Wang,Sha Li,Jincai Guo. Meta-analysis of the efficacy and safety of topical cyclosporine in the treatment of oral lichen planus [J]. Int J Stomatol, 2026, 53(1): 51-58.
[2] Yizhi Zhang,Xueke Shi,Fanglong Wu,Hongmei Zhou. Potential targets of compound Danshen dripping pill in the treatment of oral lichen planus based on network pharmacology and molecular docking [J]. Int J Stomatol, 2025, 52(6): 771-782.
[3] Zaimu Yang,Pei Cao,Zhenhua Liu,Qingxian Luan. Correlation study of plasma cell-free extra-mitochondrial mitochondria DNA and periodontitis clinical parameters [J]. Int J Stomatol, 2024, 51(3): 288-295.
[4] Li Ran,Hu Yue,Zhang Ning,Gao Ruifang,Wang Xiangyu,Ge Xuejun. The correlation study between single nucleotide polymorphisms of Toll-like receptor and interleukin-17 and oral lichen planus [J]. Int J Stomatol, 2024, 51(1): 45-51.
[5] Wang Sujie,Tan Qin,Wei Yuan,Wang Jie,Fan Jie,Yue Erli.. Correlation analysis of serum angiopoietin-2 level with forkhead/winged helix transcription factor p3 regulatory T cells and disease activity in patients with oral lichen planus [J]. Int J Stomatol, 2023, 50(6): 674-678.
[6] He Jing,Hu Mingjia,Xiao Ning,Li Jia,Sun Wanxin,Ling Lü,Liu Fan. Investigation on the degree of psychological distress and its influencing factors in patients with oral lichen planus [J]. Int J Stomatol, 2023, 50(3): 308-313.
[7] Zhang Shenyi,Wang Xiangjian,Shi Liran,Shi Jiahong,Wang Yuhong,Zhou Hongmei. Oral beta-carotene in the treatment of non-erosive oral lichen planus: a randomized controlled trial [J]. Int J Stomatol, 2022, 49(6): 633-640.
[8] Chen Siting,Zhong Xiong,Meng Wenxia.. Research progress on Nod-like receptor protein 3 inflammasome in oral mucosal diseases [J]. Int J Stomatol, 2022, 49(4): 471-475.
[9] Ding Xu,Li Xin,Li Yan,Xia Boyuan,Yu Weixian. Research progress on the relationship among oxidative stress, mitochondrial quality control, and periodontitis [J]. Int J Stomatol, 2021, 48(4): 385-390.
[10] Liu Siyu,Li Xin,Xu Xiaoyu,Sun Yinyin,Pan Yingxiao,Wang Sainan,Lu Shulai. Research advances in the relationship between oral lichen planus and cardiovascular diseases [J]. Int J Stomatol, 2021, 48(2): 141-146.
[11] Feng Lu,Meng Wenxia. Research progress on the problems of dental implant treatment in patients with common oral mucosal disease [J]. Int J Stomatol, 2021, 48(2): 147-155.
[12] Yuan Zhenying,Guan Cuiqiang,Nan Xinrong. Research progress on DNA methylation and oral disease [J]. Int J Stomatol, 2019, 46(4): 437-441.
[13] Shuaihua Qin,Xinming Li,Wenlu Li. Evaluation and correlation analysis of quality of life and coping strategies in patients with symptomatic oral lichen planus [J]. Int J Stomatol, 2019, 46(3): 282-286.
[14] Zhou Yi, Sun Xiurong, Liu Xueli, Yan Shixia. Effect of psychological intervention on the treatment of oral lichen planus [J]. Inter J Stomatol, 2016, 43(1): 22-.
[15] Wang Yuhong, Wu Zhongting, Zhou Hongmei.. Different response to treatment in the different sites of oral lichen planus: a case report [J]. Inter J Stomatol, 2015, 42(4): 430-431.
Viewed
Full text


Abstract

Cited

  Shared   
  Discussed   
No Suggested Reading articles found!